industri nyheter

Cyklodextrinbaserade lösningar för löslighet och stabilitetsförbättring

2025-12-23 - Lämna ett meddelande till mig

Cyklodextrinbaserade lösningar för löslighet och stabilitetsförbättring

Teknisk översikt av Hydroxypropyl Betadex och Betadex Sulfobutyl Ether Sodium

Cyklodextriner är allmänt erkända för sin förmåga att förbättra lösligheten och stabiliteten hos svårlösliga eller kemiskt känsliga föreningar. På grund av sin unika cykliska molekylstruktur har cyklodextriner och deras derivat blivit viktiga funktionella hjälpämnen inom farmaceutiska, kemiska och relaterade formuleringsområden. Som svar på ökande tekniska och regulatoriska krav har Xi'an Deli Biochemical ytterligare förfinat den tekniska dokumentationen och produktsupporten för sina nyckelderivat av cyklodextrin:hydroxipropylbetadex (HPBCD) och betadex sulfobutyleternatrium (SBECD).


Strukturella egenskaper och funktionella prestanda hos cyklodextriner

Cyklodextriner är cykliska oligosackarider sammansatta av glukosenheter sammanlänkade med α-1,4-glykosidbindningar. Deras molekylära arkitektur har en hydrofil yttre yta och en relativt hydrofob inre hålighet, vilket möjliggör bildandet av inklusionskomplex med ett brett utbud av gästmolekyler. Kemisk modifiering av cyklodextrinstrukturen kan avsevärt förbättra vattenlösligheten och bredda applikationsmångsidigheten.


Hydroxypropyl Betadex (HPBCD)


Hydroxipropylbetadex är ett kemiskt modifierat β-cyklodextrin utformat för att övervinna den begränsade lösligheten av naturliga cyklodextriner. Dess förbättrade vattenlöslighet och gynnsamma kompatibilitet gör HPBCD lämplig för tillämpningar som kräver effektiv solubilisering, stabilisering och formuleringsflexibilitet över olika system.


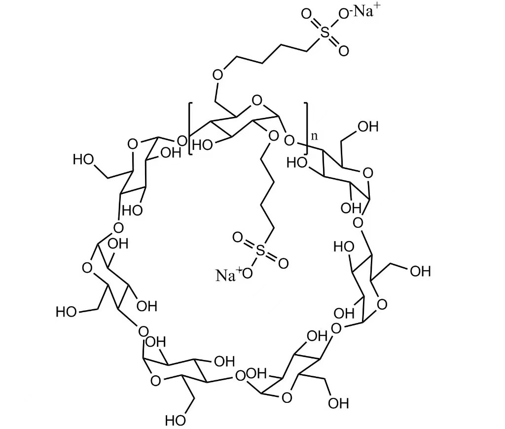
Betadex Sulfobutyl Ether Sodium (SBECD)


Betadex sulfobutyleternatrium är ett anjoniskt cyklodextrinderivat som kännetecknas av sulfobutyletersubstituenter. Denna struktur förbättrar elektrostatiska interaktioner med specifika föreningar, stödjer förbättrad löslighet, komplex stabilitet och formuleringsstabilitet i mer krävande tillämpningar.

Standardiserad produktinformation och teknisk support

För att bättre stödja formuleringsutveckling, kvalitetsutvärdering och upphandlingsprocesser har Xi'an Deli Biochemical systematiskt uppdaterat produktinformation för HPBCD och SBECD, inklusive:


  • Tydligt definierade och standardiserade produktspecifikationer och analytiska parametrar
  • Batchspecifika analyscertifikat (COA) för att säkerställa spårbarhet och kvalitetsverifiering
  • Utökade tekniska vanliga frågor om hantering, lagring och typiska tillämpningsöverväganden
  • Optimerade produktsammanfattningar utformade för att underlätta effektiv teknisk granskning och urval


Dessa förbättringar är avsedda att öka transparensen, minska utvärderingstiderna och stödja konsekvent produktprestanda under hela leveranscykeln.


Tillverkningserfarenhet och kvalitetssäkring

Xi'an Deli Biochemical grundades 1999 och har 26 års erfarenhet av tillverkning av cyklodextrinderivat. Företaget fokuserar på kontrollerad produktion av hydroxipropylbetadex och betadexsulfobutyleternatrium, med betoning på processkonsistens, batch-till-batch-tillförlitlighet och långsiktig leveransstabilitet. Strukturerade kvalitetshanteringsmetoder stödjer kundernas tekniska, regulatoriska och inköpskrav.


Tillämpningsomfång och tekniskt samarbete

Baserat på cyklodextrininklusions- och stabiliseringsmekanismer är HPBCD och SBECD tillämpliga inom flera tekniska områden, inklusive farmaceutiska relaterade formuleringar, specialkemikalier, veterinärprodukter och andra system som kräver förbättrad löslighet och stabilitet. Xi'an Deli Biochemical fortsätter att samarbeta med partners genom applikationsfokuserad kommunikation och tekniskt samarbete för att stödja utvecklande formuleringsbehov.


Om Xi'an Deli Biochemical Industry Companies

Xi'an Deli Biochemical Industry Companies grundades 1999 och är en specialiserad tillverkare av cyklodextrinderivat som levererar hydroxipropylbetadex (HPBCD) och betadexsulfobutyleternatrium (SBECD) till globala kunder. Med ett långvarigt fokus på produktkonsistens, tydliga specifikationer och praktisk teknisk support, är företaget fortfarande engagerat i att tillhandahålla pålitliga cyklodextrinbaserade lösningar.


Om du vill kan jag också:


  • Optimera detta ytterligare för Google SEO (utan att minska den tekniska tonen)
  • Kondensera det till en produktsida "Teknisk uppdatering" version
  • Anpassa den för regulatoriska/kvalitetsfokuserade kunder


Berätta bara för mig var du planerar att publicera den.


Skicka förfrågan


icon
X
Vi använder cookies för att ge dig en bättre webbupplevelse, analysera webbplatstrafik och anpassa innehåll. Genom att använda denna sida godkänner du vår användning av cookies. Sekretesspolicy
Avvisa Acceptera