Nyckelord:Betadex Sulfobutyl Ether Sodium
Betadex Sulfobutyl Ether Sodiumhar revolutionerat den farmaceutiska hjälpämnesteknologin. Detta mycket vattenlösliga cyklodextrinderivat möjliggör bildning av stabila inklusionskomplex med aktiva farmaceutiska ingredienser (API), vilket gör det möjligt att formulera läkemedel som tidigare var begränsade av dålig löslighet och instabilitet.
Genom att avsevärt förbättra injicerbara läkemedels löslighet, biotillgänglighet och säkerhet har Betadex Sulfobutyl Ether Sodium blivit en kritisk komponent i moderna läkemedelsleveranssystem. Dess unika molekylära struktur tillåter hydrofoba läkemedelsmolekyler att bli kliniskt livskraftiga genom effektiv molekylär inkapsling.
Dåligt lösliga föreningar fortsätter att utmana system för läkemedelstillförsel. Traditionella formuleringsstrategier lyckas ofta inte uppnå adekvat löslighet eller stabilitet, vilket förhindrar många lovande läkemedelskandidater från att nå patienter. Modern läkemedelsforskning förlitar sig alltmer på avancerade hjälpämnen för att övervinna dessa begränsningar samtidigt som patientsäkerheten bibehålls.

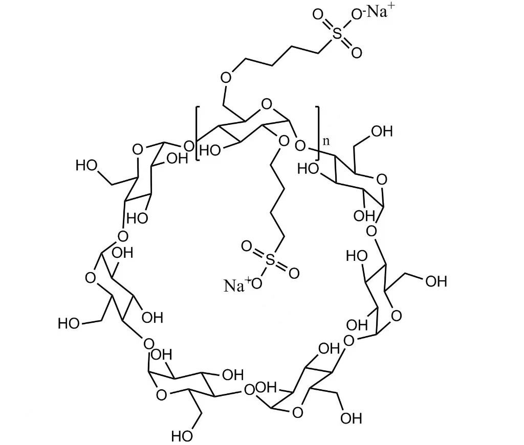
Sulfobutyletercyklodextrinär ett anjoniskt cyklodextrinderivat skapat genom att införa sulfobutylgrupper på beta-cyklodextrin-ryggraden. Denna strukturella modifiering ökar dramatiskt vattenlösligheten jämfört med nativa cyklodextriner.
Hjälpämnet bildar icke-kovalenta inklusionskomplex med läkemedelsmolekyler. Den hydrofoba inre håligheten hos cyklodextrinet är värd för lipofila API:er, medan den hydrofila yttre ytan bibehåller vattenlösligheten. Denna inkapsling förbättrar farmakokinetiken och skyddar känsliga föreningar från kemisk nedbrytning.
Graden av substitution påverkar direkt solubiliseringseffektiviteten. Högre substitutionsnivåer förbättrar lösligheten, men optimal prestanda kräver en balansering av solubiliserande kraft med säkerhet.
Vetenskapliga studier visar att Betadex Sulfobutyl Ether Sodium uppvisar lägre hemolytisk aktivitet och minskad njurackumulering jämfört med många konventionella solubiliseringsmedel, vilket gör det lämpligt för upprepad parenteral administrering.
Många svampdödande medel lider av dålig vattenlöslighet, vilket begränsar deras injicerbara användning. Betadex Sulfobutyl Ether Sodium bildar stabila komplex med läkemedel som vorikonazol och posakonazol, vilket möjliggör effektiva injicerbara formuleringar.
Utöver förbättring av lösligheten förbättrar komplexbildningen pH-tolerans och lagringsstabilitet, förlänger hållbarheten och förbättrar terapeutiska resultat för invasiva svampinfektioner.
Antivirala läkemedel stöter ofta på löslighetsbarriärer som begränsar parenteral leverans. Sulfobutyletercyklodextrin möjliggör stabila injicerbara formuleringar genom att skydda API:er från nedbrytning och möjliggöra kontrollerad frisättning.
Framgången med remdesivirformuleringar understryker vikten av cyklodextrinbaserad solubilisering vid behandling av allvarliga virusinfektioner där snabb och tillförlitlig läkemedelsleverans är avgörande.
Många anticancermedel uppvisar låg vattenlöslighet, vilket hindrar klinisk utveckling. Betadex Sulfobutyl Ether Sodium tillåter formulering av dessa potenta föreningar samtidigt som en gynnsam säkerhetsprofil bibehålls.
Dess låga vävnadsackumulering och minskade toxicitet är särskilt värdefulla för onkologiska terapier som kräver upprepad dosering, vilket möjliggör högre terapeutisk exponering med förbättrad tolerabilitet.
Akut hjärt-kärlvård förlitar sig ofta på injicerbara läkemedel med snabbt insättande. Detta hjälpämne möjliggör stabila formuleringar av dåligt lösliga kardioaktiva medel.
Den låga hemolytiska aktiviteten hos Betadex Sulfobutyl Ether Sodium gör den särskilt lämplig för patienter med nedsatt hjärtfunktion som inte kan tolerera hemolytisk stress.
Pediatriska och geriatriska patienter möter ofta utmaningar med orala doseringsformer. Injicerbara och flytande formuleringar som använder sulfobutyletercyklodextrin ger tillförlitlig läkemedelsleverans över åldersgrupper.
Molekylär inkapsling maskerar också obehaglig smak, vilket förbättrar patientens följsamhet, särskilt i pediatriska formuleringar.
Sällsynta sjukdomsterapier involverar ofta API:er med komplexa fysikalisk-kemiska egenskaper. Betadex Sulfobutyl Ether Sodium hjälper till att övervinna löslighetsproblem utan omfattande omutveckling av hjälpämnen.
Dess etablerade säkerhetsprofil och skalbara tillverkning minskar regulatoriska och utvecklingsrisker och påskyndar kommersialiseringen av särläkemedel.
Cyklodextrininkapsling skyddar API från hydrolys, oxidation och fotonedbrytning genom att fysiskt avskärma reaktiva grupper.
Denna stabilitetsförbättring stöder global distribution, särskilt i regioner med begränsad kylkedjas infrastruktur.
Xi'an Deli Biochemical Industry Co., Ltd. har över 26 års expertis inom cyklodextrintillverkning. Varje batch testas noggrant för substitutionsgrad, föroreningar och endotoxiner.
Med en årlig produktionskapacitet som överstiger 200 ton Betadex Sulfobutyl Ether Sodium säkerställer våra anläggningar en stabil, långsiktig leverans för både kliniska och kommersiella tillämpningar.
Validerade tillverkningsprocesser minimerar batch-till-batch-variabilitet, vilket gör att läkemedelskunder kan designa robusta och reproducerbara formuleringar.

Våra produkter överensstämmer med stora farmakopékrav, vilket ger läkemedelstillverkare konsekvent kvalitet och förtroende för reglering på globala marknader.
Utökad vetenskaplig litteratur och regulatoriska godkännanden fortsätter att stödja en bredare användning av Betadex Sulfobutyl Ether Sodium i avancerade läkemedelsleveranssystem.
Att optimera komplexbildningskinetik och termodynamik är väsentligt för att uppnå önskad löslighetsförbättring och läkemedelsfrisättningsprofiler.
Inklusionskomplex kan kräva anpassade analytiska metoder för att korrekt kvantifiera API:er. Validerade, specifika analystekniker är kritiska.
Kompatibilitetsstudier säkerställer långvarig formuleringsstabilitet när flera hjälpämnen används i kombination.
Genterapi, cellterapi och personlig medicin representerar lovande områden för cyklodextrinbaserade leveransteknologier.
Cyklodextrinderivat möjliggör fasta doskombinationer med kontrollerad frisättning och förbättrad stabilitet.
Hybridsystem som kombinerar cyklodextriner med nanopartiklar öppnar nya gränser för riktad läkemedelsleverans.
När den farmaceutiska utvecklingen går framåt fortsätter Betadex Sulfobutyl Ether Sodium att ta itu med komplexa formuleringsutmaningar samtidigt som en utmärkt säkerhetsprofil bibehålls. Dess mångsidighet över terapeutiska områden gör det till ett viktigt hjälpämne för nästa generations läkemedelstillförselsystem.
F: Vad görsulfobutyletercyklodextrinöverlägsen andra solubiliseringsmedel?
S: Det ger lägre toxicitet, minskad hemolys, reversibel komplexbildning och förbättrad läkemedelsstabilitet jämfört med organiska lösningsmedel och ytaktiva ämnen.
F: Hur påverkar graden av substitution prestandan?
S: Högre substitution förbättrar lösligheten, men optimal prestanda kräver balansering av solubiliseringseffektivitet och säkerhet.
F: Kan det användas i orala formuleringar?
S: Ja, även om det främst är utformat för injicerbara läkemedel, kan det förbättra lösligheten i orala formuleringar när det är motiverat av terapeutisk nytta.
Betadex Sulfobutyl Ether Sodiumfrån Xi'an Deli Biochemical Industry Co., Ltd. tillhandahåller en säker, stabil och skalbar lösning för avancerade injicerbara läkemedelsformuleringar. Kontakta oss påxadl@xadl.comför att lära dig mer.