X
IMG
VIDEO

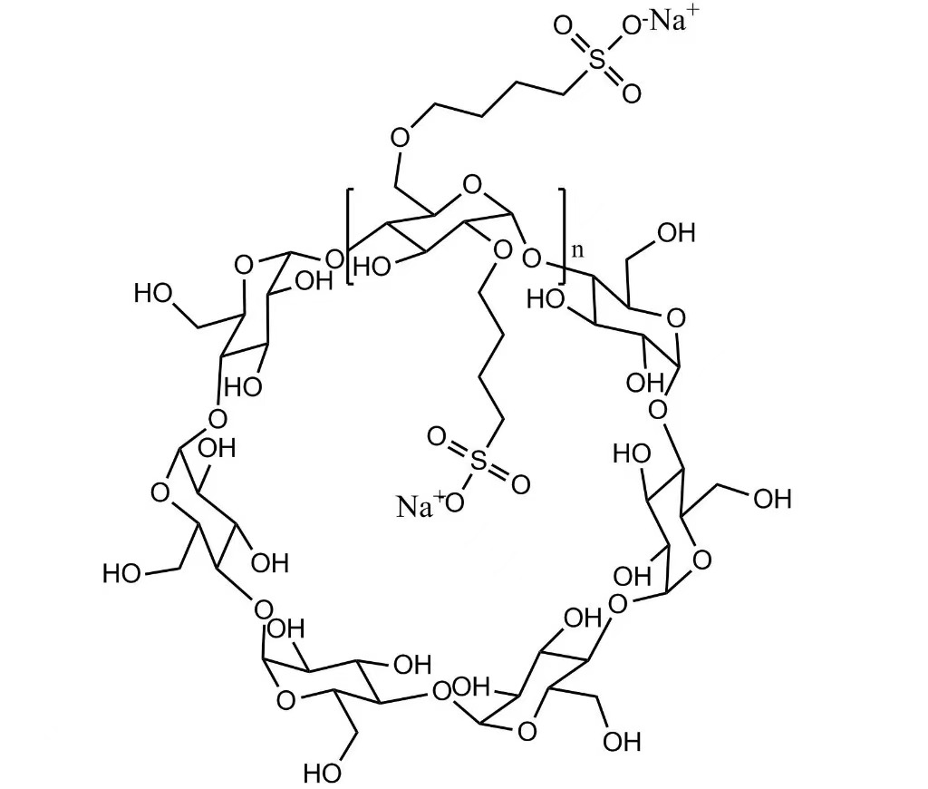
SBE-β-CD Sulfobutylether Beta Cyclodextrin Natrium Injicerbart farmaceutiskt hjälpämne

Partihandel SBE-β-CD Sulfobutylether Beta Cyclodextrin Sodium Injicerable Pharmaceutical Excipient tillverkat i Kina från DELI. SBE-β-CD (Sulfobutylether Beta Cyclodextrin Sodium) är ett mycket vattenlösligt injicerbart farmaceutiskt hjälpämne som används för att förbättra lösligheten, stabiliteten och säkerheten hos svårlösliga API: er genom reversibel inklusionskomplexbildning.

Skicka förfrågan

Produktbeskrivning


SBE-β-CD Sulfobutylether Beta Cyclodextrin Natrium Injicerbart farmaceutiskt hjälpämne

SBE-β-CD (Sulfobutylether Beta Cyclodextrin Sodium) är ett mycket vattenlösligt, anjoniskt β-cyklodextrinderivat designat för injicerbara farmaceutiska tillämpningar. Det bildar stabila, icke-kovalenta inklusionskomplex med aktiva farmaceutiska ingredienser (API), vilket avsevärt förbättrar lösligheten, stabiliteten och säkerheten för dåligt vattenlösliga läkemedel.

På grund av dess utmärkta biokompatibilitet, låga hemolytiska aktivitet och kontrollerade toxicitetsprofil, används SBE-β-CD i stor utsträckning i parenterala läkemedelstillförselsystem över flera terapeutiska områden.


Viktiga fördelar


SBE-β-CD förbättrar vattenlösligheten av hydrofoba API:er samtidigt som formuleringssäkerheten bibehålls. Jämfört med traditionella solubiliseringsmedel visar den minskad njurtoxicitet och lägre irritation på injektionsställena, vilket gör den lämplig för upprepad parenteral administrering.


Farmaceutiska tillämpningar


SBE-β-CD appliceras främst i injicerbara och sterila formuleringar, inklusive intravenösa, intramuskulära och subkutana doseringsformer. Det används ofta i antivirala, svampdödande, onkologiska och kardiovaskulära läkemedelsprodukter, där hög löslighet och formuleringsstabilitet är avgörande.


Produktspecifikationer


Kemiskt namn Sulfobutyleter Beta Cyclodextrin Natrium
CAS-nr. 182410-00-0
Utseende Vitt till benvitt amorft pulver
Kvalitet Injicerbart farmaceutiskt hjälpämne
Löslighet Lättlöslig i vatten
Analysera 95,0 % – 105,0 % (vattenfri basis)
Genomsnittlig substitutionsgrad (DS) 6,2 – 6,9
Bakteriella endotoxiner ≤ 10 EU/g
Standarder USP/EP
Hållbarhet 36 månader


Förpackningsspecifikationer


Tillgängliga förpackningsalternativ inkluderar 500 g/påse, 1 kg/påse, 10 kg/påse och 10 kg/fat. Anpassade förpackningar är tillgängliga på begäran för kommersiell leverans.


Kvalitetssäkring


Alla partier av SBE-β-CD tillverkas under ett strikt kvalitetsledningssystem och genomgår omfattande analytisk testning. Nyckelkvalitetsparametrar som föroreningar, endotoxiner, substitutionsgrad och konsistens från batch-till-batch är noggrant kontrollerade.

Varje försändelse åtföljs av ett analyscertifikat (COA) för att säkerställa full spårbarhet och regelefterlevnad.


Företagskvalifikationer och certifieringar


Xi'an Deli Biochemical Industry Co., Ltd. är ett högteknologiskt företag specialiserat på forskning, utveckling och tillverkning av cyklodextriner och deras derivat. Företaget grundades 1999 och har över 26 års branscherfarenhet.

Företaget driver dedikerade produktionslinjer för farmaceutiska hjälpämnen med kontrollerade rena tillverkningsområden. Dess kvalitetsledningssystem har klarat ISO 9001-certifieringen och kärnprodukterna är registrerade eller registrerade hos relevanta tillsynsmyndigheter, inklusive FDA.


Tillverkningsförmåga


Xi'an Deli Biochemical har etablerat storskalig kommersiell produktionskapacitet för SBE-β-CD, vilket säkerställer tillförlitlig långsiktig leverans för globala läkemedelskunder.

Den årliga produktionskapaciteten överstiger 200 ton, med en typisk batchstorlek på cirka 2,5 ton.


FAQ

F1: Vilken är huvudfunktionen hos SBE-β-CD i injicerbara formuleringar?
S: SBE-β-CD fungerar främst som ett solubiliseringsmedel och stabilisator, vilket förbättrar vattenlösligheten och säkerheten för dåligt vattenlösliga API:er genom reversibel inklusionskomplexbildning.


F2: Är SBE-β-CD lämplig för upprepad intravenös administrering?
A: Ja. SBE-β-CD uppvisar låg hemolytisk aktivitet och minskad njurtoxicitet jämfört med traditionella solubiliseringsmedel, vilket gör den lämplig för upprepad parenteral användning.


F3: Överensstämmer din produkt med farmakopéstandarder?
S: Vår SBE-β-CD uppfyller USP- och EP-kraven och är tillverkad under ett certifierat kvalitetsledningssystem.


F4: Kan teknisk dokumentation tillhandahållas?
A: Ja. COA, specifikationer och tekniska data finns tillgängliga på begäran.



Hot Tags: SBE-β-CD Sulfobutylether Beta Cyclodextrin Sodium Injicerable Pharmaceutical Excipient, Tillverkare, Leverantörer, Kina, Fabrik, bulk, Gratis Prov, Tillverkad i Kina, På lager, Partihandel, Köp

Relaterad kategori

Skicka förfrågan

Lämna gärna din förfrågan i formuläret nedan. Vi kommer att svara dig inom 24 timmar.
icon
X
Vi använder cookies för att ge dig en bättre webbupplevelse, analysera webbplatstrafik och anpassa innehåll. Genom att använda denna sida godkänner du vår användning av cookies. Sekretesspolicy
Avvisa Acceptera